Pathologie - Toxicologie
-
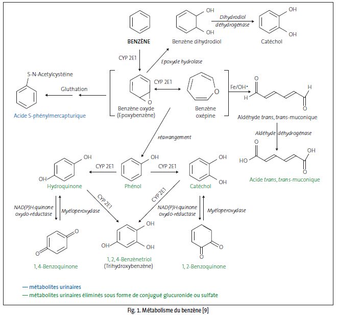
Toxicocinétique - Métabolisme [1]
Le benzène est absorbé par toutes les voles d’exposition. Il est rapidement distribué, préférentiellement dans les tissus riches en lipides. La métabolisation a principalement lieu dans le foie ainsi que dans la moelle osseuse et le métabolisme oxydatif est nécessaire au développement d’effets toxiques. Une partie du benzène peut être exhalée sous forme non métabolisée, mais la plus grande partie est métabolisée et les métabolites sont excrétés sous forme conjuguée, principalement dans l’urine.
Chez l'animal
Absorption
Le benzène est facilement absorbé au niveau du tractus gastro-intestinal puisque plus de 80 % de la dose orale est absorbée chez le lapin et plus de 97 % chez le rat et la souris. Après inhalation, on retrouve chez les rongeurs 10 à 50 % de la dose administrée dans le sang et les tissus et, chez l'Homme, plusieurs études évaluent l'absorption par cette voie à 50 %. Le benzène liquide ou les vapeurs de benzène sont également absorbés par voie cutanée mais de façon moindre : chez l'Homme, une étude in vitro estime l'absorption cutanée de benzène liquide à 0,2 % et, in vivo, 0,05 % des vapeurs semblent absorbées par la peau. En milieu professionnel, le benzène est absorbé essentiellement par voie pulmonaire et, à un moindre degré, par voie percutanée.
Distribution
Le benzène se distribue préférentiellement dans les tissus riches en lipides. Des niveaux importants sont observés dans les tissus adipeux, le cerveau, le sang, les reins et le foie par inhalation chez l'Homme ainsi que dans la moelle osseuse, les glandes mammaires et les glandes de Zymbal après inhalation ou ingestion chez le rat. Le benzène peut également traverser le placenta chez l'Homme et l'animal et des concentrations comparables sont observées dans le sang maternel et le sang du cordon ombilical.
Métabolisme
Le benzène est métabolisé essentiellement dans le foie, mais aussi dans les autres tissus où il s'est fixé, notamment la moelle osseuse.
La première réaction, catalysée par le système du cytochrome P450 (CYP2E1), conduit à la formation d'époxybenzène. L'absence d'effets néfastes chez les souris knockout CYP2E1 (souris dépourvue de l'activité enzymatique CYP2E1) montre que cette étape de métabolisation est essentielle dans la toxicité du benzène [14]. En effet, les métabolites responsables des effets toxiques sont formés à partir de l'époxybenzène très réactif par différentes voies d'oxydation (cf. fig. 1).
Les mêmes voies métaboliques semblent communes aux différentes espèces mais avec des variations quantitatives. La formation de dérivés conjugués est plus importante chez le rat que chez la souris. Des études par voie intra-péritonéale (ip) ou intra-veineuse (iv) indiquent que les primates métabolisent le benzène majoritairement en conjugués phénoliques, et l'oxydation en composés toxiques comme l'hydroquinone et l'acide trans,trans-muconique est moindre que chez la souris. Chez l'Homme, les enzymes des cytochromes P450 sont présentes avec une grande variabilité inter-individuelle, et in vitro l'activité des différentes enzymes du métabolisme du benzène varie d'un facteur 3 selon les individus avec des valeurs comprises entre celles du rat et de la souris [15].
Divers produits peuvent interférer avec le métabolisme du benzène. L'éthanol et, de façon moins claire, le phénobarbital stimulent le métabolisme du benzène. À l'inverse, le toluène inhibe par compétition la transformation du benzène en phénol. Par ailleurs, l'administration répétée de benzène à faible dose réduit l'activité du CYP2E1.
Schéma métabolique

Excrétion
Après inhalation, ingestion ou application cutanée, le benzène se retrouve principalement tel quel dans l'air expiré et sous forme métabolisée dans les urines.
Chez la souris, après ingestion de faibles quantités, 90 % de la dose est excrétée dans les urines alors que pour des doses plus élevées, une proportion plus importante est exhalée sous forme non métabolisée, ce qui indique une saturation du métabolisme du benzène.
Lors d'une exposition chronique, l'élimination pulmonaire varie entre 10 et 50 % de la quantité absorbée ; elle se poursuit au moins 24 heures après l'arrêt de l'exposition. Les phénols urinaires correspondent au métabolisme de 30 à 40 % du benzène et sont à 90 % sous forme sulfoconjuguée. Les métabolites conjugués de l'hydroquinone, du catéchol et l'acide muconique sont également présents dans l'urine.
La quantité urinaire de benzène non métabolisé représente moins de 1 % du benzène administré.
L'élimination urinaire se poursuit pendant 24 à 36 heures.
Une faible quantité de métabolites glucuroconjugués peut également être retrouvée dans les fèces après passage dans la bile.
Surveillance Biologique de l'exposition [16]
L’acide S-phénylmercapturique (SPMA) ou le benzène urinaires en fin d’exposition ou fin de poste de travail sont les indicateurs à privilégier pour la surveillance biologique de l’exposition au benzène.
Des valeurs biologiques d’interprétation professionnelles et issues de la population générale sont disponibles pour ces deux indicateurs.
Pour le dosage du benzène urinaire il faut se méfier d'une contamination externe du prélèvement. Pour des expositions inférieures à 0,5 ppm de benzène, le tabagisme est le principal facteur de confusion pour les deux indicateurs. Il est recommandé de ne pas fumer dans les 2 heures précédant le prélèvement.
L'acide trans,trans-muconique (t,t-MA) urinaire en fin d’exposition ou de poste de travail n’est pas un indicateur adapté pour des expositions au benzène inférieures à 0,3 ppm. A ce niveau d'exposition, il est surtout influencé par l'acide sorbique d'origine alimentaire et est soumis à de grandes variations individuelles.
Toxicité expérimentaleToxicité aiguë [1]
La toxicité aiguë du benzène est faible par voies orale, inhalatoire ou cutanée mais il provoque des irritations persistantes sur la peau et l’œil.
Les données de DL50 par voie orale chez les rongeurs varient entre 810 et 10 000 mg/kg mais la DL50 se situe vraisemblablement autour de 5 000 mg/kg, avec une sensibilité accrue des jeunes rats (DL50 de 3 400 mg/kg chez les rats âgés de 14 jours).
Par voie cutanée, la DL50 chez le lapin et le cobaye est supérieure à 8260 mg/kg.
La CL50 par inhalation est de 13 700 ppm pour une exposition de 4 heures chez le rat et de 10 400 ppm pour 7 heures chez la souris.
L'inhalation est responsable :
- d'effets neurologiques centraux : excitation, mouvements anormaux, tremblements, puis somnolence à partir de 2000 ppm chez la souris (durée non précisée) ;
- d'effets hématologiques : diminution des cellules souches chez la souris exposée à 4680 ppm pendant 8 heures ;
- d'effets cardiaques : troubles de l'excitabilité chez le chat et le lapin exposés à une atmosphère saturée en benzène.
L'application de benzène sur la peau de cobaye et de lapin entraîne une irritation cutanée qui persiste plus de 72 heures. L'instillation oculaire de 0,10 mL de benzène induit une irritation de la cornée et de la conjonctive chez la souris, une irritation et une atteinte de la cornée persistante chez le lapin. Des cataractes ont été décrites chez le rat après exposition à 50 ppm pendant plus de 600 heures. Aucune donnée n'est disponible sur la sensibilisation.
Toxicité subchronique, chronique [1]
Le principal organe cible du benzène est le système hématopoïétique : il provoque chez l’animal une diminution des taux de globules blancs, de globules rouges et de nombreuses cellules souches.
Les effets critiques après administration répétée de benzène se manifestent sur le système hématopoïétique, quelle que soit la voie d'administration.
Par inhalation chez la souris, des effets hématologiques sont observés à partir de 10 ppm. Le benzène induit une diminution des différentes cellules sanguines (globules blancs, globules rouges, plaquettes) ainsi qu'une diminution des cellules souches de la moelle osseuse, à différents stades de leur différenciation. Des effets sur la fonction immunitaire sont notés à partir de 30 ppm (diminution de la capacité de prolifération des lymphocytes en réponse à un mitogène, diminution de la production d'anticorps et retard dans la réponse des macrophages et cellules T en réponse à une infection bactérienne). Une dépression de l'activité neurocomportementale accompagnée d'une diminution de l'activité acétylcholinestérase dans le cerveau et le sang ont également été relevées chez les souris exposées à 12,52 ppm de benzène, 2 h/j pendant 30 jours.
Par inhalation chez le rat, une diminution des globules blancs et des lymphocytes est notée à partir de 300 ppm, 6 h/j, 5 jours par semaine, pendant 90 jours. L'inhalation de benzène pendant 4 semaines ne modifie pas les fonctions immunitaires jusqu'à 200 ppm chez le rat.
Par voie orale chez la souris, le même type d'effets hématologiques est observé (leucopénie, diminution du taux de lymphocytes dose-dépendante à partir de 25 mg/kg/j, 5 j/semaine pendant 103 semaines). Des études de 4 semaines dans l'eau de boisson montrent également des effets neuromodulateurs : le benzène induit une stimulation de l'axe hypothalamo-hypophyso-surrénalien (augmentation de la norépinéphrine dans l'hypothalamus et de l’ACTH/corticostérone dans le sang) à partir de 8 mg/kg/j et produit une augmentation des concentrations en dopamine, indoléamine, sérotonine et en certaines catécholamines dans différentes parties du cerveau à partir de 31 mg/L.
Par voie orale chez le rat, le benzène induit une leucopénie ainsi qu'une diminution du taux de lymphocytes à partir de 200 mg/kg et 50 mg/kg chez les mâles exposés respectivement pendant 17 et 103 semaines, et à partir de 25 mg/kg chez les femelles. Une diminution des cellules lymphatiques dans la rate est également observée.
Effets génotoxiques [1, 17]
Le benzène est génotoxique : il induit des aberrations chromosomiques et des micronoyaux in vivo chez l’animal. Les effets sont établis sur les cellules somatiques et sur les cellules germinales.
Une des particularités du benzène est que la plupart des résultats des tests in vitro sont négatifs : il n'exerce pas d'action mutagène directe sur les bactéries et des résultats variables sont obtenus sur les cellules de mammifères.
Cependant, in vivo, de nombreuses études indiquent clairement que le benzène induit des aberrations chromosomiques et des micronoyaux sur moelle osseuse chez l'animal. Par voie orale, le test du micronoyau est positif chez la souris à partir de 25 mg/kg après exposition unique ou répétée (4 mois) [17, 18]. Par voie inhalatoire, des aberrations chromosomiques sont observées à partir de 10 ppm pendant 2 semaines chez le rat [19] ainsi que des micronoyaux après une exposition unique à 10 ppm chez la souris. L'induction de mutations a également été mise en évidence chez la souris dans les tissus de poumon et de rate mais pas dans le foie (mutation du gène de bactériophage Lacl chez la souris transgénique) [20]. Il est également constaté que des aberrations chromosomiques se produisent dans les cellules germinales chez la souris, à des doses similaires à celles induisant des effets sur les cellules somatiques [21].
Enfin, une étude par voie intrapéritonéale indique que le benzène a le potentiel d'induire des effets mutagènes à travers le placenta chez la souris.
Effets cancérogènes [1, 22]
Des études par voies orale et inhalatoire montrent que le benzène est cancérogène chez l’animal. Les organes cibles sont le système hématopoïétique et différents tissus d’origine épithéliale, indiquant que le benzène est un cancérogène systémique.
La cancérogénicité a été examinée dans différentes études par voies orale et inhalatoire chez le rat et la souris. Les organes cibles semblent identiques quelles que soient les voies d'exposition.
Sur le plan hématologique, l'apparition de lymphomes est observée chez des souris exposées au benzène par inhalation (à partir de 300 ppm, 6 h/j, 5 j/semaine pendant toute la vie) et par voie orale (à partir de 25 mg/kg, 5 j/semaine pendant 103 semaines). En revanche, le rôle du benzène dans la survenue de leucémies et de myélomes n'est pas démontré chez l'animal. Les tumeurs de la glande de Zymbal sont les plus fréquemment retrouvées lors de l'administration orale chez le rat et la souris. Des cancers de la cavité buccale sont également observés chez le rat par voie orale à partir de 250 mg/kg. L'irritation locale pourrait être un facteur déclenchant. On observe également des tumeurs pulmonaires, de la glande de Harder (glande lacrymale présente chez certains animaux), de la glande préputiale, des glandes mammaires et des ovaires chez la souris, des tumeurs de la cavité nasale et de la peau chez le rat et, dans les deux espèces, des tumeurs hépatiques et du préestomac.
Effets sur la reproduction [1, 23]
Les données animales montrent des dommages testiculaires mais ne permettent pas de conclure avec certitude sur un danger pour la fertilité ; le benzène ne semble pas toxique pour le développement.
L'exposition de rats, cobayes et lapins mâles à une concentration atmosphérique de 80 ppm, 7 h/j, 5 j/semaine pendant 8 à 10 mois, provoque des lésions testiculaires. Chez la souris exposée à 300 ppm, 6 h/j, 5 j/semaine pendant 90 jours, on constate une atrophie et une dégénérescence des testicules, une diminution du nombre des spermatozoïdes et une augmentation du pourcentage de formes anormales. Dans une expérience menée chez le rat femelle exposé à une concentration atmosphérique de 10 ppm pendant 4 mois (temps d'exposition quotidien non précisé), il a été noté une diminution de la durée du cycle menstruel et une augmentation de la durée de la menstruation.
On ne dispose que de peu d'informations en ce qui concerne l'action du benzène sur la fertilité : un test de dominance létale est négatif chez le rat mâle après une injection intrapéritonéale de 0,5 mL/kg ; chez le rat femelle, l'exposition à 10 ppm pendant 4 mois (durée d'exposition quotidienne non précisée) ne semble pas avoir d'effet sur la fertilité.
Les études concernant les effets du benzène sur la gestation sont plus nombreuses. Le transfert placentaire est probablement important en raison du faible poids moléculaire et de la grande liposolubilité de la molécule. Chez la souris et le lapin, aucun effet embryolétal ni tératogène n'a été relevé, quelle que soit la voie d'administration, même aux doses entraînant une toxicité maternelle. Chez le rat, une fœtotoxicité s'exprime à fortes doses par une diminution du poids fœtal, des anomalies squelettiques et un retard d'ossification. Elle semble liée à la toxicité maternelle.
Toxicité sur l’HommeComme pour la plupart des solvants organiques, le benzène provoque des troubles digestifs et neurologiques, avec en cas d'aspiration dans les voies aériennes, une pneumopathie d'inhalation. Le benzène est irritant pour la peau et induit des lésions oculaires superficielles. Les expositions répétées peuvent provoquer des troubles neurologiques (syndrome psycho-organique) et digestifs. La toxicité est avant tout hématologique : thrombopénie, leucopénie, aplasie médullaire mais surtout hémopathies malignes et lymphopathies. Le benzène est un cancérogène avéré pour l'Homme. Des effets génotoxiques sont observés en cas d'exposition professionnelle. Des effets sur la fonction de reproduction sont rapportés mais les effets sur la grossesse sont mal caractérisés en dehors d'une fréquence accrue d'avortements.
Toxicité aiguë [3, 24, 25]
Le benzène partage la toxicité aiguë de tous les solvants hydrocarbonés. L'ingestion provoque : des troubles digestifs (douleurs abdominales, nausées, vomissements), des troubles neurologiques (troubles de conscience, ivresse puis somnolence pouvant aller jusqu'au coma, convulsions à très hautes doses) et une pneumopathie d'inhalation (due à l'inondation des voies respiratoires par le produit et aggravée par les vomissements éventuels).
Lors d'intoxications par inhalation, les mêmes symptômes neurologiques apparaissent pour des concentrations variables selon les individus ; les chiffres suivants sont donnés à titre indicatif : pas d'effet à 25 ppm, céphalées et asthénie de 50 à 100 ppm, symptômes plus accentués à 500 ppm, tolérance seulement pendant 30 à 60 minutes à 3000 ppm, mort en 5 à 15 minutes à 20 000 ppm. Des convulsions sont observées aux plus hautes doses.
En application cutanée, le benzène est irritant. La projection oculaire de solutions de benzène entraîne une sensation modérée de brûlure mais seulement des lésions peu importantes et transitoires des cellules épithéliales.
Toxicité chronique
Toxicité non hématologique [14, 23, 26]
L'inhalation de benzène provoque des troubles neuropsychiques communs à ceux observés avec les autres solvants et regroupés sous le terme de syndrome psycho-organique : irritabilité, diminution des capacités d'attention et de mémorisation, syndrome dépressif, troubles du sommeil... Des troubles digestifs, tels que nausées, vomissements, épigastralgies, peuvent être observés. Par contact cutané prolongé, le benzène entraîne des irritations locales.
Aucune étude n'a prouvé la responsabilité du benzène dans la genèse des cancers autres que ceux du système hématopoïétique et lymphopoïétique.
Troubles hématologiques non malins [25 à 27]
Le rôle du benzène dans la survenue d'hémopathies non malignes est prouvé par de nombreuses études individuelles et épidémiologiques. D'après les résultats de ces dernières, le seuil de toxicité semble pouvoir être fixé, pour des groupes, à 10 ppm ; toutefois cette valeur n'exclut pas la possibilité de survenue d'anomalie pour des expositions plus faibles.
La thrombopénie est le signe le plus précoce et le plus fréquent de l'intoxication. Une leucopénie ou parfois une hyperleucocytose, une anémie ou, beaucoup plus rarement, une polyglobulie peuvent également être notées. La difficulté d'interprétation des anomalies modérées (liée à la variabilité intra-individuelle et inter-individuelle des paramètres de la numération formule sanguine et à la difficulté d'en définir la normalité) justifie néanmoins une certaine prudence. Les anomalies évoluent dans la grande majorité des cas vers la régression à l'arrêt de l'exposition : elles ne seraient que très rarement le prélude à une hémopathie plus sévère.
L'aplasie médullaire benzénique est devenue exceptionnelle en France depuis l'application des mesures de prévention prévues par la réglementation. Le délai d'apparition de la maladie par rapport au début de l'exposition varie de quelques mois à plusieurs dizaines d'années. D'après certains, une première atteinte sanguine par le benzène favoriserait la survenue d'une aplasie médullaire après réexposition. Cette aplasie, précédée pendant plus ou moins longtemps d'une hypoplasie, peut débuter sur une seule lignée (plaquettaire ou blanche) avant de se généraliser. Le médullogramme est typiquement pauvre ; mais parfois il est initialement normal ou riche : hyperplasie granuleuse et mégacaryocytaire, augmentation des éléments jeunes et immatures. En cas de guérison, l'évolution peut se faire vers une leucémie dans un délai variable (de plusieurs années souvent).
Hémopathies malignes et lymphopathies [22, 23, 26, 28]
Le Centre international de recherche sur le cancer (CIRC) considère qu’il existe des indices suffisants de cancérogénicité chez l’Homme (le benzène figure dans le groupe 1).
De très nombreux rapports de cas et plusieurs études épidémiologiques de cohortes attestent le pouvoir leucémogène du benzène pour des expositions extrêmement variables (< 1 ppm à > 100 ppm) ; le benzène n'est pas toujours l'unique polluant des postes de travail concernés.
D'après certains, une leucémie benzénique serait toujours précédée de troubles non malins ; plusieurs cas de leucémies après guérison d'épisodes antérieurs d'anomalies sanguines induites par le benzène ont été décrits. Le type myélocytaire est le plus fréquent. On a mis en évidence une relation dose-effet entre l'importance de l'exposition en ppm/mois et l'incidence des leucémies ; par contre, aucun lien n'a été trouvé entre l'apparition de leucémies et l'importance des pics maximum d'exposition (envisagés indépendamment de l'exposition cumulée), l'âge à la première exposition au benzène, la durée d'exposition et le délai écoulé entre le début de l'exposition et la survenue de la maladie. Plusieurs problèmes demeurent cependant non résolus : en effet, différentes observations suggèrent la responsabilité du benzène dans d'autres types de leucémies : leucémies lymphoïdes chroniques, leucémies aiguës lymphoïdes, leucémies myéloïdes chroniques, leucémies aiguës myéloïdes non myélocytaires. Il persiste toutefois des incertitudes ; l'incidence des leucémies benzéniques diminue en raison de la baisse des concentrations atmosphériques en milieu professionnel et du nombre d'exposés ; aucune étude épidémiologique ne pourra donc mettre en évidence avec une puissance suffisante ces effets potentiels. Par ailleurs, la forme de la relation dose-effet et une dose seuil éventuelle ne peuvent être définies, faute d'étude avec métrologie correcte.
D'après une étude épidémioloqique réalisée en Chine, des travailleurs exposés pendant 10 ans à des colles contenant du benzène avaient un risque plus élevé (4,2 ; 1,1 - 15,9) de développer un lymphome non hodgkinien [19].
Effets génotoxiques [26-29]
Les études conduites chez des sujets modérément exposés sont le plus souvent négatives ; on n'a pas détecté d'augmentation des lésions chromosomiques pour des concentrations atmosphériques inférieures à 15 ppm. Cependant, les résultats de ces enquêtes sont souvent difficilement interprétables en raison de la fréquence des poly-expositions à des toxiques potentiellement mutagènes, de la faiblesse des effectifs et des insuffisances de la métrologie.
Lors d'expositions professionnelles plus importantes, des aberrations chromosomiques lymphocytaires ou des instabilités chromosomiques sont presque constantes ; ces anomalies peuvent persister plusieurs années après l'exposition, la fréquence des lésions chromosomiques n'a pas été relevée (les données métrologiques sont parfois incomplètes).
En conclusion, aucune relation ne peut être actuellement établie entre les types de lésions chromosomiques observées in vitro et les effets sur la santé, ni même entre l'existence de lésions chromosomiques et la survenue ultérieure éventuelle d'un état pathologique.
Effets sur la reproduction
Dans une étude sur un nombre restreint de femmes exposées à un mélange de benzène, toluène et xylène à des concentrations atmosphériques moyennes en benzène de 8,8 ppm (0,90 - 876,47), des modifications des taux de FSH et de métabolites estrogéniques suggèrent une possible action de ces solvants sur l'axe hypothalamo-hypophysaire [30].
Chez la femme, des troubles menstruels, surtout hémorragiques, sont rapportés par plusieurs publications mais on ne sait pas s'ils sont indépendants de la pathologie hématologique, et la méthodologie de ces études n'est pas toujours précisée. Dans une étude, l'incidence des troubles menstruels est liée à la durée d'exposition [29, 31].
Les résultats de plusieurs études suggèrent une possible altération du sperme chez des sujets exposés à des mélanges de solvants hydrocarbonés dont le benzène. La responsabilité de chaque solvant ne peut être individualisée [32, 33].
Lors de la grossesse, le transfert placentaire est prouvé : la concentration en benzène au sang du cordon chez le nouveau-né est au moins égale à celle de la mère exposée au produit. Aucun élément ne permet de conclure à une tératogénicité ou à une fœtotoxicité.
Quelques études suggèrent une fréquence accrue des avortements chez les femmes exposées au benzène ; l'exposition fréquente à des risques professionnels variés et des problèmes méthodologiques rendent l'interprétation de ces enquêtes souvent difficile [29, 34]. Dans une étude de cohorte, il n'a pas été mis en évidence de liaison entre l'exposition professionnelle du père au benzène et un risque d'avortement spontané [35].
Cohérence des réponses biologiques chez l'Homme et l'animal