Présentation du polymère
Généralités
-
Nom du polymère
Polyamide 6-6 -
Abréviation
PA 6-6 -
Synonymes
- Polyhexaméthylène adipamide
- nylon
- nylon 6-6
-
Numéro CAS
32131-17-2 -
Famille
Polyamides
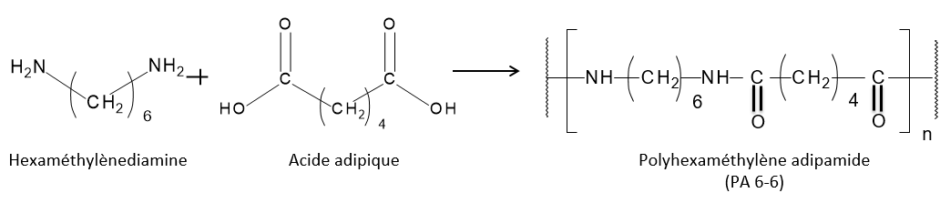
Le PA 6-6 est obtenu par polycondensation de l'acide adipique avec l'hexaméthylènediamine. C'est un thermoplastique blanchâtre semi-cristallin. C'est le nylon aliphatique non renforcé le plus solide et le plus résistant à l'abrasion et aux faibles températures. Sa très faible viscosité de fusion peut causer des difficultés de transformation industrielle et son exposition aux intempéries peut entraîner une fragilisation et un changement de couleur à moins qu'il ne soit stabilisé ou protégé.
Il est employé pour la fabrication de pièces mécaniques, d'engrenages sans lubrifiant, de pales de ventilateur et de tissus du fait de sa bonne resistance chimique, mécanique et thermique. Le PA 6-6 est également utilisé dans le domaine du sport, sous forme de filaments pour les cordes ou de composite pour les structures de vélos, etc.
Synthèse
Formule développée N°1
