Présentation du polymère
Généralités
-
Nom du polymère
Nitrate de cellulose -
Abréviation
CN -
Synonymes
- Fulmicoton
- Nitrocellulose
- Pyroxyle
- celluloid
-
Numéro CAS
9004-70-0 -
Famille
Cellulosiques
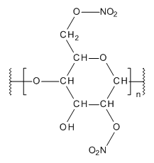
Le nitrate de cellulose est un polymère à structure fibreuse, obtenu par estérification par l'acide nitrique de la cellulose purifiée. Son utlisation est pratiquement abandonnée à cause de sa forte inflammabilité et son explosivité.
Les différentes nitrocelluloses industrielles se distinguent les unes des autres par leur taux d’azote (variant entre 11 et 12 % du poids de nitrocellulose sèche pour les produits courants) et leur viscosité qui dépend étroitement du degré de polymérisation de la résine, c’est-à-dire de la longueur de la chaîne cellulosique.
Les nitrocelluloses industrielles se présentent donc sous différentes formes :
- en floches, mouillées à l’eau ou imprégnées d’alcool ;
- en granulés sphériques plastifiés ;
- en solutions appelées « collodions » ;
- en dispersions auto-émulsionnables, etc.
Synthèse
Formule développée
