Présentation du polymère
Généralités
-
Nom du polymère
Polyéthylène téréphtalate -
Abréviation
PET -
Synonymes
- PETP
- Poly(ethyl benzene-1,4-dicarboxylate)
-
Numéro CAS
25038-59-9 -
Famille
Polyesters linéaires
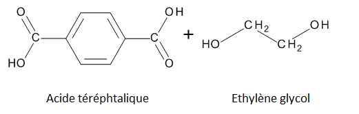
Le polyéthylène téréphtalate est un produit de polycondensation de l'acide téréphtalique avec l'éthylène glycol.
Les polyesters linéaires ont d’abord été utilisés essentiellement pour la fabrication de fibres textiles (tergal, diolen…) ou de films (mylar, terphane...). Mais la tendance actuelle est de développer leurs applications en tant que matières plastiques techniques pour les industries mécaniques et électriques, en raison de leurs propriétés.
Synthèse
Formule développée

