Généralités
Dans cette fiche toxicologique, on désignera le phtalate de bis(2-éthylhexyle) par son abréviation courante DEHP.
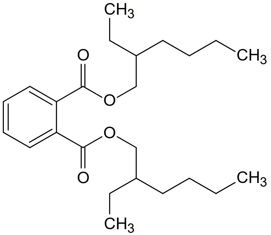
Substance(s)
| Formule | Nom | Famille chimique | Numéro CAS | Numéro CE | Numéro index | Synonymes |
|---|---|---|---|---|---|---|
| Phtalate de bis(2-éthylhexyle) | Esters aromatiques | 117-81-7 | 204-211-0 | 607-317-00-9 | Phtalate de di(2-éthylhexyle) ; Phtalate de di-sec-octyle
; Benzène-1,2-dicarboxylate de 1,2-bis(2-éthylhexyle) ;
DEHP |
Formule chimique

Étiquette(s)
Danger
-
H360FD - Peut nuire à la fertilité. Peut nuire au fœtus.
Nota : Les conseils de prudence P sont sélectionnés selon les critères de l'annexe 1 du réglement CE n° 1272/2008.
204-211-0
-
Selon l'annexe VI du règlement CLP. Cet étiquetage harmonisé et la classification associée sont d'application obligatoire. Cette classification harmonisée doit être complétée le cas échéant par le metteur sur le marché (autoclassification) et la substance étiquetée en conséquence (cf. § "Classification et étiquetage" du chapitre "Réglementation").
Certains metteurs sur le marché proposent une autoclassification pour cette substance : se reporter au site de l'ECHA : https://chem.echa.europa.eu/.